NMatrix is a registered trademark around the world,
and it is patented in Japan and the USA.

研
究データが得られたあとに避けて通れない過程のひとつが、統計解析作業とその結果を表示する方法の選択です。
多数のFigureやTableを、限られたページ内に配置するのは、研究者や執筆者にとって、なかなかの悩みどころです。
新しい統計表示法NMatrixは、多数のグラフをそのまま掲載するのではなく、1枚のグラフに表されている有意差の大小や変化量の程度を1個のcellに置き換え、複数の検定方法で導き出された多種多様な検定結果を、たった1枚のマトリックスで表すツールです。
複数項目を基準にして、多剤を同時に比較検討する場合などには、NMatrixはその真価を発揮します。
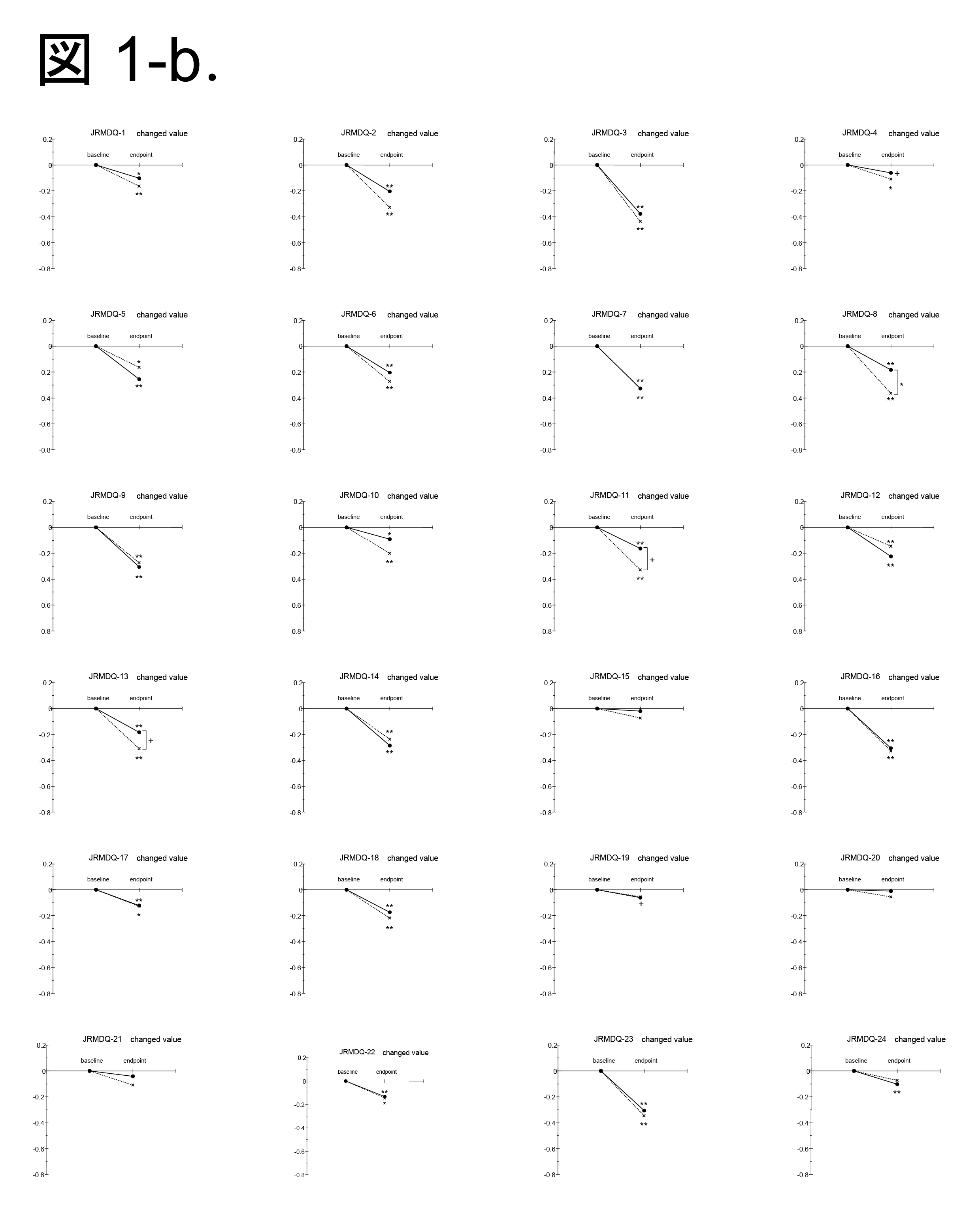
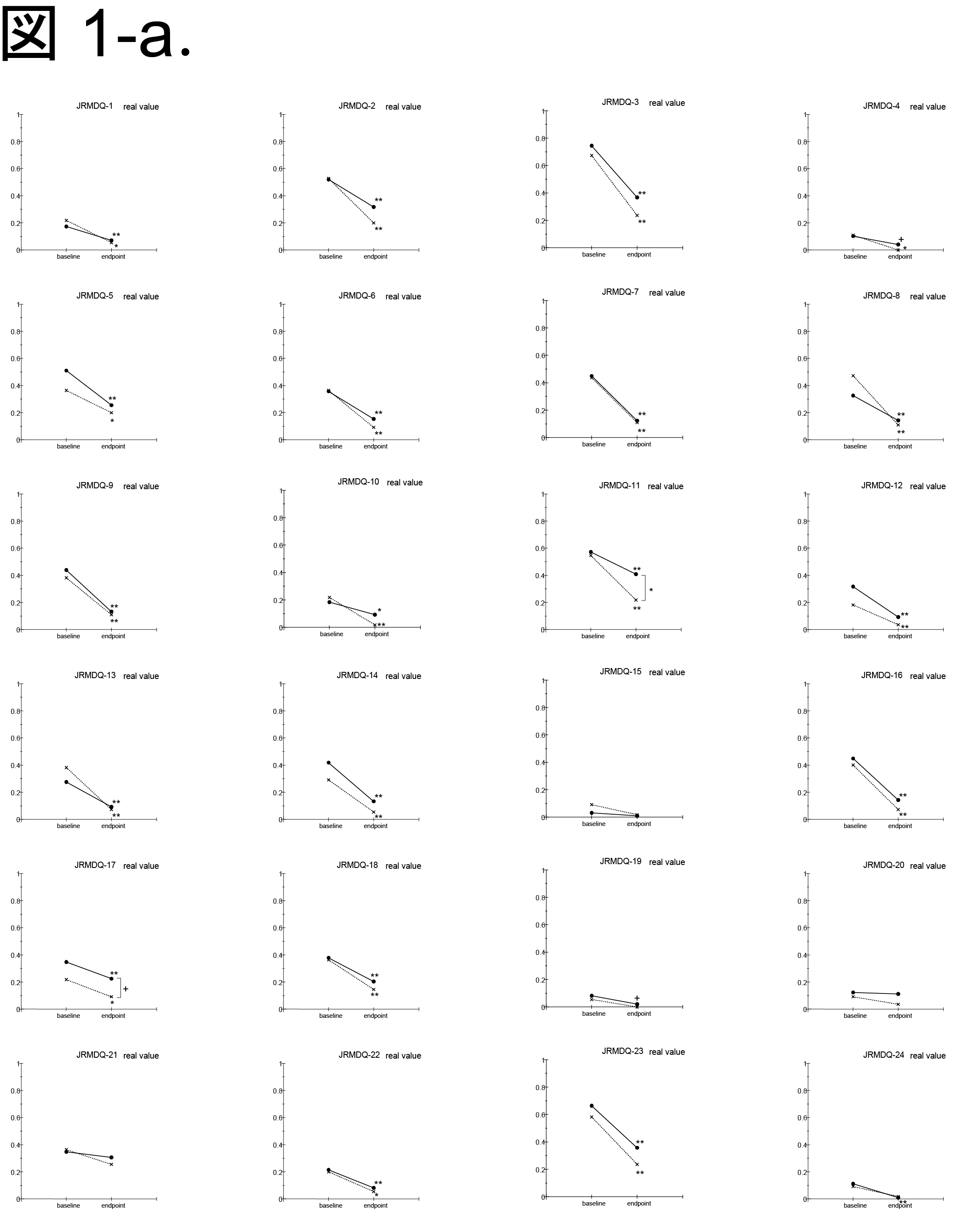
たとえば、2剤同士を24個の評価項目に従って、実測値と変化量とで比較するような研究例では、下図1-a,bに示す48枚のグラフで表現する代わりに、下図2のようにたった1枚のNMatrix表示で、研究成果からのメッセージを、一瞬で明快に伝えることが可能です。
複
数項目を基準にして、4剤を任意の2点間で比較検討した場合には、グラフ表示なら204枚を必要としますが、やはりたった1枚のNMatrix表示で、図3のように表せます。また、それぞれのcellは、図2のような単色の濃淡によっても、図3のような色分けによっても、自在に選択して表示することができます。NMatrix作成時には、パラメトリック手法かノンパラメトリック手法かの、どちらかを任意に選択することが可能となっており、計量データにノンパラメトリック手法を適応する場合や、順序データにパラメトリック手法を用いる場合にも対応しています。
NMatrixは、研究内容に応じて、使い分けができるように作られているのです。
パラメトリック手法
初期値(時期1の実測値)の群間比較
2標本t検定(対応のないt検定、2群の場合) 一元配置分散分析(多群の場合) ※これらの手法は解析対象データの内容に応じて自動的に使い分けられます。
群別時期1と各時期の群内比較
対応のあるt検定(2時期の場合)二元配置分散分析に基づく多重比較(多時期の場合) ※これらの手法は解析対象データの内容に応じて自動的に使い分けられます。
※多重比較は次の手法を指定可能Dunnett型(省略時)、Bonferroni型、Scheffe型、Tukey型、Fisher型
時期別実測値の群間比較
2標本t検定(対応のないt検定、2群・2時期の場合)一元配置分散分析に基づく多重比較(多群・2時期の場合) 多重検定(多群・多時期の場合)これらの手法は解析対象データの内容に応じて自動的に使い分けられます。 ※多重比較は次の手法を指定可能Tukey型(省略時)、Bonferroni型、Scheffe型、Dunnett型、Fisher型 ※多重検定はBonferroni型
時期別変化量の群間比較
2標本t検定(対応のないt検定、2群・2時期の場合)一元配置分散分析に基づく多重比較(多群・2時期の場合)多重検定(多群・多時期の場合) ※これらの手法は解析対象データの内容に応じて自動的に使い分けられます。 ※多重比較は次の手法を指定可能Tukey型(省略時)、Bonferroni型、Scheffe型、Dunnett型、Fisher型 ※多重検定はBonferroni型
ノンパラメトリック手法
初期値(時期1の順序データ)の群間比較
Fisherの正確検定(2群・2順位の場合) ann-WhitneyのU検定(2群・多順位の場合) χ2乗検定(多群・2順位の場合)Kruskal-WallisのH検定(多群・多順位の場合) ※これらの手法は解析対象データの内容に応じて自動的に使い分けられます。
群別時期1と各時期の順序データの群内比較
符号検定(2時期・2順位の場合) CochranのQ検定に基づく多重比較(多時期・2順位の場合) Friedmanの検定に基づく多重比較(多時期・多順位の場合) ※これらの手法は解析対象データの内容に応じて自動的に使い分けられます。 ※多重比較は次の手法を指定可能Dunnett型(省略時)、Bonferroni型、Scheffe型、Tukey型、Fisher型
時期別順序データの群間比較
Fisherの正確検定(2群・2時期・2順位の場合) Mann-WhitneyのU検定(2群・2時期・多順位の場合) χ2乗検定に基づく多重比較(多群・2時期・2順位の場合)
Kruskal-WallisのH検定に基づく多重比較(多群・2時期・多順位の場合) 多重検定(多群・多時期・多順位の場合) ※これらの手法は解析対象データの内容に応じて自動的に使い分けられます。 ※多重比較は次の手法を指定可能Tukey型(省略時)、Bonferroni型、Scheffe型、Dunnett型、Fisher型 ※多重検定はBonferroni型
時期別順序データの変化量の群間比較
Mann-WhitneyのU検定(2群・2時期・多順位の場合) Kruskal-WallisのH検定に基づく多重比較(多群・2時期・多順位の場合) 多重検定(多群・多時期・多順位の場合) ※これらの手法は解析対象データの内容に応じて自動的に使い分けられます。 ※多重比較は次の手法を指定可能Tukey型(省略時)、Bonferroni型、Scheffe型、Dunnett型、Fisher型 ※多重検定はBonferroni型
NMatrix is a registered trademark around the world, and it is patented in Japan and the USA.


















